Notice
Recent Posts
Recent Comments
Link
| 일 | 월 | 화 | 수 | 목 | 금 | 토 |
|---|---|---|---|---|---|---|
| 1 | 2 | |||||
| 3 | 4 | 5 | 6 | 7 | 8 | 9 |
| 10 | 11 | 12 | 13 | 14 | 15 | 16 |
| 17 | 18 | 19 | 20 | 21 | 22 | 23 |
| 24 | 25 | 26 | 27 | 28 | 29 | 30 |
| 31 |
Tags
- feedforward neural network
- 경사하강법
- 다익스트라
- 이진 분류
- 순방향 신경망
- 3d
- c++
- 딥러닝
- bfs
- 동적계획법
- 계단 함수
- dijkstra
- 과대적합
- union-find
- dl
- 손실 함수
- OpenGL
- vanishing gradient
- 알고리즘
- DP
- 베르누이 분포
- 백준
- 베버의 법칙
- 단층 퍼셉트론
- 범용 근사 정리
- 기울기 소실
- Perceptron
- BOJ
- deep learning
- 이진분류
Archives
- Today
- Total
Hello COCOBALL!
[DL] 손실 함수(Loss Function) 본문
손실 함수
손실 함수는 지도학습 시 모델의 예측값과 실제값 간의 차이를 측정하고, 학습중에 알고리즘이 얼마나 잘못 예측했는지 그 정도를 확인하기 위한 함수이다.
손실함수의 함수값을 최소화할 수 있는 가중치와 편향을 찾는 것이 딥러닝 학습의 목표이다.
손실 함수의 종류
평균 제곱 오차(Mean Squared Error, MSE)

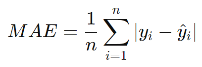
평균 절대 오차(Mean Absolute Error, MAE)

오차의 절댓값을 평균하여 계산한다.
MSE와는 다르게 손실 함수가 오차와 비례하여 일정하게 커진다.
회귀 문제에서 주로 사용된다.
'Deep Learning' 카테고리의 다른 글
| [DL] 회귀(Regression), 분류(Classification) (0) | 2024.06.25 |
|---|---|
| [DL] 순방향 신경망(Feedforward Neural Network) (0) | 2024.06.24 |
| [DL] 기울기 소실(Vanishing Gradient) (0) | 2024.06.23 |
| [DL] 활성화 함수(Activation Function) (0) | 2024.06.23 |
| [DL] 퍼셉트론(perceptron) (0) | 2024.06.22 |